Fall Leaves Cause Days to Shorten
In Scotland, I didn't have to rake leaves each fall. After moving to Auburn, I was raking leaves and had never appreciated before how much work it was, or how heavy all the leaves were when all raked together.
So, myself and a physics friends got to thinking that all of these leaves falling may actually make the Earth itself spin faster in the fall. It would be similar to an ice-skater who brings their arms in towards their body as they are spinning, conservation of angular momentum means that they spin faster. The Earth is bringing its mass closer to its center when the leaves drop from trees in fall.
In physics, there are problems we call 'Fermi' problems. In this method, you make rough estimates of things and see how big the effect is, without having to calculate all of the details precisely. This way of trying to figure out answers is named after the physicist Enrico Fermi, who is noted for these kinds of estimates.
My friend in Scotland and I exchanged emails where we tried to estimate the effect.
The first thing is that if there were the same amount of deciduous trees in the Northern hemisphere as there are in the Southern Hemisphere the effects would actually cancel out. As leaves are falling in the Northern Hemisphere, they are growing back in the Southern Hemisphere. However, after a bit of looking things up, we estimated that 80 percent of leaf-falling trees are in the Northern Hemisphere and 20 percent are in the Southern.
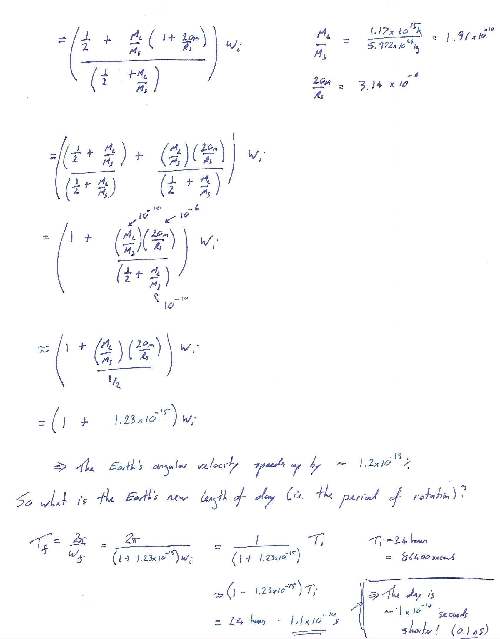
I looked back on my emails to see what our estimate was. As an example of Fermi estimates, we got the mass of a leaf by assuming that it the same mass as a piece of paper that is cut to the same size as an average leaf (and we knew how much a ream of paper weighs). We estimated that there are 72 Gigatrees (72x10^9 trees) that have leaves that fall. We then used the mass of leaves dropping to the earth to work out how much the Earth would speed up. We estimated that its angular velocity would speed up by 1.2x10^-13 percent. This corresponds to the Earth having a day that is 0.1 nanoseconds shorter!
Our conclusion was that leaves are not just a pain to rake up, but they steal away 0.1 nanoseconds of our day.
Now, we all have yet another reason to dislike raking leaves each fall!
Latest Headlines
-
02/12/2025
-
02/11/2025
-
02/10/2025
-
01/30/2025
-
12/03/2024



